Real-world medical long-term treatment strategy in Kawasaki disease: Data from the Kawasaki Disease – Coronary Assessment registry (KD-CAR)

E Wollenweber

Introduction:
Evidence-based recommendations for long-term medical management in Kawasaki disease, particularly in patients with persistent coronary artery aneurysms, remain limited. We analyzed real-world data from the KD-CAR (Kawasaki Disease – Coronary Assessment Registry), which comprises patients who underwent coronary imaging via conventional angiography, computed tomography, or magnetic resonance imaging, to assess how coronary pathology and/or patient-specific factors influence pharmacological selection.

Methods:
Data from the KD-CAR, including detailed information on coronary artery pathology and prescribed medications, were used for this analysis. Anticoagulation strategies and other cardiovascular therapies were evaluated in relation to patient age and sex, as well as coronary pathology-specific factors, including aneurysm size, aneurysm burden, and the presence of coronary artery stenosis, such as thrombosis.

Results:
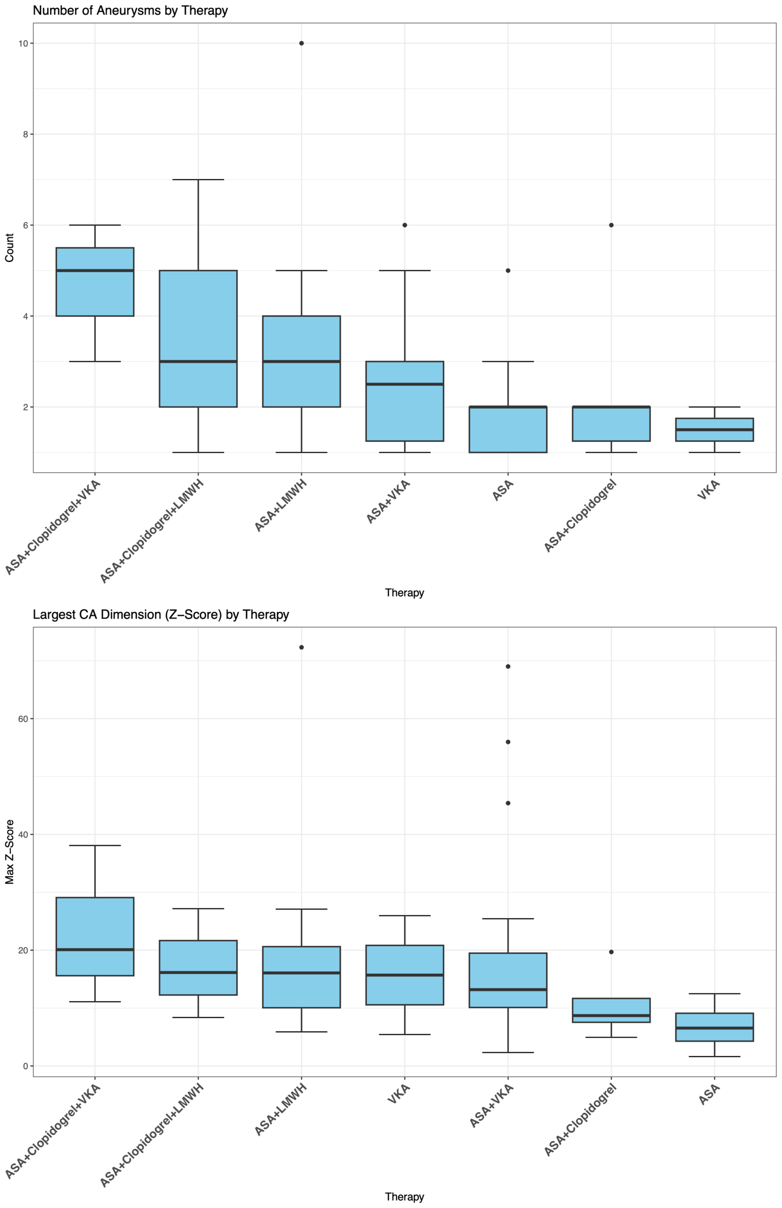
Among 179 registry patients, 119 (78 male, age range 0-312 months) received anticoagulant or cardiac medication guided by cross-sectional imaging. Acetylsalicylic acid (ASA) was prescribed in 97% of treated patients, most commonly in combination with vitamin K antagonists (VKA; 49%). Patients receiving VKA were significantly older than those treated with ASA and low-molecular-weight heparin (LMWH; 12%). Clopidogrel was administered in 16% of patients, either as dual antiplatelet therapy or in combination with anticoagulation. VKA monotherapy was given in 3% of the patients, all with large coronary artery aneurysms. Anticoagulant selection was significantly associated with aneurysm quantity (see figure 1A), size (see figure 1B), and location, but not with the presence of coronary stenosis. β-blockers and statins were infrequently used and predominantly in patients with multiple aneurysms.

Discussion:
Long-term medical management was highly heterogeneous and primarily guided by coronary aneurysm characteristics rather than the presence of coronary stenosis. Adjunctive therapies, such as statins, were used only infrequently. These findings emphasize the pivotal role of aneurysm morphology in therapeutic decision-making and highlight the need for stronger evidence to support standardized long-term treatment strategies in Kawasaki disease.